年中国各省份常住人口排名前三位为广东省(278亿)、山东省(008亿)、河南省(9785万)。
截至2025年,我国常住人口前五的省份依次为广东、山东、河南、江苏和四川,其中广东以278亿人位居榜首,西藏人口最少仅370万。
中国户籍人口前三省份(截至2023年) 目前公开数据中,户籍人口排名前三的省份依次为:河南、山东和广东,三省户籍人口均突破1亿人。 具体排名 河南省户籍人口达11536万人,位居全国第一; 山东省以10146万人的户籍人口排名第二; 广东省户籍人口为10050万人,位列第三。
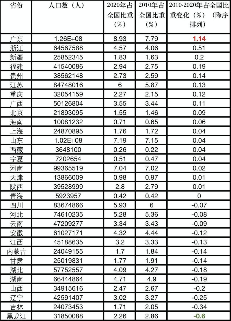
根据第七次全国人口普查数据,中国各省(除港澳台)人口排名中,广东以26亿人位居榜首,山东、河南紧随其后,江苏、四川分列第第五位。
根据2020年第七次全国人口普查数据: 浙江省内排名: 杭州:常住人口位居全省第一 温州:常住人口排名第二 宁波:以940.43万人口位列第三 当前公开信息尚未明确统计各省流入宁波的具体人口排名数据。若需了解宁波各区县人口情况,需等待官方发布最新年度数据后进一步确认。
前五人口大省国际对标: 江苏(8,509万) ≈ 伊朗(8,600万) 四川(8,374万) ≈ 土耳其(8,500万) 河北(7,424万) ≈ 泰国(7,200万) 西部地广人稀省份如西藏(366万)接近苏里南(60万),青海(595万)与丹麦(590万)基本持平。
1、广东省:人口总数达到1346亿。 山东省:人口总数共计0047亿。 河南省:人口总数为9605万。 四川省:人口总数达8341万。 江苏省:人口总数共计8051万。 河北省:人口总数为7556万。 湖南省:人口总数达6899万。 安徽省:人口总数共计6324万。
2、根据我的了解2023年全国人口排行榜前三名分别是广东省、山东省和河南省。中国的人口仍然保持着较快的增长,尤其是前三名省份的人口增长较为显著。同时,中国的性别比例也在逐渐趋于平衡。政府应该继续加强人口政策的调控,促进人口结构的优化和发展。
3、广东省:拥有约27亿人,是中国人口最多的省份。广东省的面积为198万平方千米,2023年的地区生产总值达到1356716亿元。 山东省:人口约01亿人,总面积179万平方千米。2023年,山东地区生产总值达到2万亿元。 河南省:人口约9815万人,总面积17万平方千米。
4、中国户籍人口前三省份(截至2023年) 目前公开数据中,户籍人口排名前三的省份依次为:河南、山东和广东,三省户籍人口均突破1亿人。 具体排名 河南省户籍人口达11536万人,位居全国第一; 山东省以10146万人的户籍人口排名第二; 广东省户籍人口为10050万人,位列第三。
根据我的了解2023年全国人口排行榜前三名分别是广东省、山东省和河南省。中国的人口仍然保持着较快的增长,尤其是前三名省份的人口增长较为显著。同时,中国的性别比例也在逐渐趋于平衡。政府应该继续加强人口政策的调控,促进人口结构的优化和发展。
年中国各省人口排行榜前三名依次为广东、山东和河南。

年,中国各省人口排名揭晓,前三甲依次为广东省、山东省和河南省。详细数据如下: 广东省:人口约1346亿。 山东省:人口约0047亿。 河南省:人口约9605万。 四川省:人口约8341万。 江苏省:人口约8051万。 河北省:人口约7556万。 湖南省:人口约6899万。
年全国十大城市人口排名如下:重庆市:以35631万人口位居榜首,是中国人口相对密度较大的城市之一。上海市:拥有24134万人口,作为国际经济贸易发达的城市,吸引了大量年轻人前来发展。北京市:人口总数为2155万,作为中国的政治中心和文化教育中心,人口聚集度极高。
中国人口密度排名前十的省份及其人口密度如下: 澳门——陆地面积38平方千米,常住人口696万,人口密度20719人/平方公里。 香港——陆地面积11034万平方千米,常住人口750.07万,人口密度6781人/平方公里。
湖南:人口密度326人/平方公里,排在人口较多的省份之列。1 湖北:人口密度319人/平方公里,表明该省人口较多。1 辽宁:人口密度294人/平方公里,显示了其人口分布的状态。1 江西:人口密度279人/平方公里,反映出其人口较多的情况。
中国人口密度最大的省份是江苏省。以下是对此结论的详细解释:江苏省的人口密度情况 江苏省的人口密度为6851人每平方公里,这一数字在全国范围内是最高的。江苏省拥有7296万人口,而土地面积仅为67万平方公里。这使得江苏省的人口密度远高于其他省份。
中国大陆人口密度最大的6个省市分别是:上海、北京、天津、江苏、山东和广东。上海:作为中国最繁华的城市和经济大都市,上海的人口密度位居全国之首,达到了每平方千米3600人。其高度的城市化和经济活力吸引了大量人口聚集。

厦门:截止2024年3月27日,厦门常住人口528万人,土地面积1701平方公里,人口密度达到了3105人/平方公里。佛山:常住人口位于全国第六,达到9626万人,土地面积3798平方公里,截止2024年3月27日,人口密度达到2531人/平方公里。
核心结论:中国最新城市人口密度排行中,深圳以绝对优势领先,无锡成为前十门槛,广东省在前十席位中占据六成。 前十榜单分布:深圳位列第一(7173人/平方公里),作为经济特区和科技创新中心,人口高度聚集。广东省表现突出,前十中占6席,包括东莞、广州、佛山、汕头、中山等城市。
广东省:拥有约27亿人,是中国人口最多的省份。广东省的面积为198万平方千米,2023年的地区生产总值达到1356716亿元。 山东省:人口约01亿人,总面积179万平方千米。2023年,山东地区生产总值达到2万亿元。 河南省:人口约9815万人,总面积17万平方千米。
广东省以人口超过27亿,成为中国人口最多的省份。该省拥有广阔的土地面积超过198万平方千米,并且经济发展迅速,2023年地区生产总值达到1356716亿元,位居全国首位。 山东省:超过01亿人 山东省,这个儒家文化的发源地,以其丰富的文化遗产和“孔孟之乡、礼仪之邦”的美誉而著称。
中国人口最多的十大省级行政区广东省:12706万人广东省,土地总面积198万平方千米,常住人口12706万人。2023年,广东地区生产总值达到1356716亿元,是全国首个突破13万亿元的省份,总量连续35年居全国首位。山东省:101297万人山东省,儒家文化发源地,素有“孔孟之乡、礼仪之邦”的美誉。
广东省:人口超过27亿,以其经济增长和制造业繁荣而闻名。 山东省:人口超过01亿,是儒家文化的发源地,以文化和农产品丰富著称。 河南省:人口约9815万,是中华文明的重要发源地之一,以农业和文化遗产知名。 四川省:人口约9071万,以其地理环境和文化遗产吸引游客。
广东省:超过27亿人 广东省以其快速的经济增长和繁荣的制造业而闻名,是中国人口最多的省份。 山东省:超过01亿人 山东省是儒家文化的发源地,以其深厚的文化底蕴和丰富的农产品而知名。 河南省:约9815万人 河南省是中华文明的重要发源地之一,以农产品生产和历史文化遗迹著称。
湖南省位于中国中部,东临江西,西接重庆、贵州,南毗广东、广西,北连湖北。省会长沙,人口数量众多。 湖北省位于中国中东部,长江及其最大支流汉江流经该省,与湖南、江西、安徽、河南、陕西等省份接壤。省会武汉,人口众多。
发表评论
暂时没有评论,来抢沙发吧~